하나의 종속변수 y와 두 개 이상의 독립변수(x1,x2....)사이의 관계를 최소 제곱법에 의해 추정하는 수법
| 선형회귀 | 관측값 y1이 독립변수의 선형 조합으로 표현되는 것 |
| 비선형회귀 | 관측값 y1이 독립변수의 곡선 조합으로 표현되는 것 |
데이터들을 대표하는 선을 그리는 것

| 선형 회귀 | 로지스틱 회귀 | |
| 확률값 해석 가능여부 | 확률값으로 직접 해석 불가 | 확률값으로 해석 가능 |
| 종속 변수 | 연속형 변수 | (0,1) → 범주형 데이터 |
| 계수 추정법 | 최소 제곱법 | 최대 우도 추정법 |
| 모형 검정 | F검정, T검정 | 카이제곱검정[x2-test] |
| 가설함수 | ![]() |
![]() |
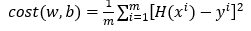
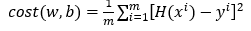
| 비용함수 | ![]() |
![]() |
| 기울기함수[미분] | ![]() |
![]() |
| [개미의 걸음 scikit-learn 4차시] Classification① 회귀분석 - 선형(with iris 데이터) (0) | 2021.02.11 |
|---|---|
| [개미의 걸음 scikit-learn 오류해결] graphviz 설치 및 오류 해결(with jupyter notebook) (0) | 2021.02.04 |
| [개미의 걸음 scikit-learn 4차시] 의사결정트리 실습(with iris) (0) | 2021.02.04 |
| [개미의 걸음 scikit-learn 3차시] Classification① 의사결정트리(Decision Tree)의 이해 (0) | 2021.02.03 |
| [개미의 걸음 scikit-learn 2차시] Classification(분류)의 이해 (0) | 2021.02.02 |
댓글 영역