상세 컨텐츠

본문 제목

[개미의 걸음 ADsP 3과목] 확률분포① 이산형 확률 분포

자격증/ADsP

by IT개미 데이터 2021. 2. 15. 17:17

본문

728x90

이산형 확률 분포

  ① 이산형 확률변수

 확률변수 X가 유한집합이거나 자연수의 부분집합과 일대일 대응일 때의 확률변수 X

 

 ② 수학적 기대값, E[u(x)]

f(x)가 이산확률변수 x의 pdf이고 ∑u(x)f(x)의 값이 존재할 때, 이를 수학적 기대값이라 함

   기대값의 성질 
1. E[c]= C [단, C는 상수]
2. E[cx] = cE(x)
3. E[cu(x)]=cE[u(x)]
4. E[c1u1(x)±c2u2(x)]=c1E[u1(x)]±c2E[u2(x)]
5. u1(x) ≤ u2(x)이면 E[u1(x)] ≤ E[u2(x)]이다.

  평균과 분산

확률변수 X가 이산확률밀도 함수f(x)를 갖고 그 공간 R={b1,b2...}일 때, b1f(b1)+b2f(b2)....를 평균이라고 함

  • ex1> f(x)=1/8 (x=0,1)  ,  f(x)=3/8 (x=2,3)일때, X의 평균은?
       E(X) = 
    ∑xf(x)= 0*(1/8) + 1*(1/8) + 2*(3/8) + 3*(3/8) = 2

표준편차의 제곱을 분산이라고 함

  • 분산은 '평균'으로부터 떨어진 정도를 나타냄
  • var(x) = (표준편차)2 = E[(x-u)2]
                              = E[x2-2ux+u2]
                              = E[x2]-2uE[x]+u2
                              = E[x2] - u2
                              = E[x2] - (E[x])2
   분산의 성질 
1. var(Cx) = Cvar(x)        [단, C는 상수]
2. var(ax+b) = a2var(x)   [단, a,b는 상수]
3. var(C) = 0                [단, C는 상수]  

  ※ 체비세프의 부등식

확률변수 X가 유한인 평균과 분산을 가지면, k≥1인 모든 k에 대해 P[|x-u|≥k*(표준편차)]≤(1/k)2를 만족한다.

 

 

 

 ③ 확률질량함수[Probability Mass Functon, pmf]

 이산확률변수 X에 대한 확률P(X=x)

  • f(x)를 이산확률변수 X의 pmf라고 한다.
  • f(x) > 0  ,  x ∈ R
        R : X의 공간
  • ∑f(x) = 1
  • P(X∈A) = ∑f(x)  ,  A⊂R

   누적분포함수[Cumulative Distribution Function, cdf]

 A={t:t≤x, x∈R}, F(x)=P(X∈x)=∑f(t)일 때, 확률변수 X의 누적분포함수를 F(x)라고 함

  • 0 ≤ F(x) ≤1 
       → F(x)는 확률이므로
  • F(x)는 x의 비감소 함수
      x1<x2일때, F(x1) = P(X≤x1)  ≤ P(X≤x2) = F(x2)
  • F(∞) = 1
    F(-∞) = 0
  • F는 오른편 연속 함수   
  • X가 이산확률변수일 때, F(x)는 계단함수[Step Function]

  적률생성함수[Moment Generating Function, mgf], M(t)

-h <t < h 일때,  E(etx)=∑etxf(x)를 x의 적률생성함수라고 함

  • 확률변수 X의 적률은 X의 거듭제곱의 기대값을 적률(Moment)이라고 함
        → 확률변수는 pdf가 f(x)인 이산확률변수
  • E[xr] = ∑xrf(x)
        → 원점에 대한 X의 r차 적률
  • E[(x-b)r] = ∑(x-b)rf(x)
        → 중심이 b인 X의 r차 적률
  • 확률변수 X의 적률생성함수가 -h < t < h에서 존재할 때, R(t) = lnM(t)를 x의 누가적률이라고 함
  • 서로 독립인 확률변수 x1,x2, ... xn의 적률생성함수가 각각 Mx1(t)....Mxn(t)라고 할 때, Y = a0 + a1x1 + a2x2 + .... + anxn(단, a1,a2,....an은 상수)의 적률생성함수는 MY(t)=ea0tMx1(a1t) X ....... X Mxn(ant)

적률생성함수 특징

  • var(x)= E(x2)-[E(x)]2 = M''x(0)-[M'(0)]2

 ※ 맥로린 급수[Maclaurln's Series]

Talyer's Series에서 f(x)=ex를 대입한 것

  • f(x) = f(0) + f'(0)x + f''(0)x2/2! + ....
  • ex = 1 + x + x2/2! + x3/3! + ....
  • M(t) = E(etx)=E(1 + xt + (xt)2/2! +...) = E(1) + E(x)t + E(x2)t2/2! +....

 

 ④ 베르누이 시행과 이항 분포

베르누이 시행[Bernoulli Trial]

  • 두 가지의 서로 배반적이고 완전히 분할되는 실험일 때 적용 가능
           ex> 결과가 둘 중 하나(앞/뒤, 합/불, 삶/죽음 등) 일 때
                즉, 서로 동시에 일어날 확률이 0
  • 확률변수 X의 pdf가 f(x) = px(1-p)1-x  ,  x=0,1  ,  0≤p≤1  ,  q = 1 - p  일때, X는 베르누이 분포를 갖는다

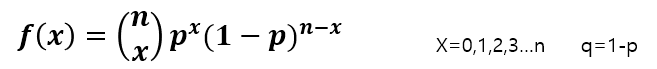
이항분포[Binomial Distribution]

  • 확률변수 x의 밀도함수가 다음과 같을 때, X는 모수가 (n,p)인 이항분포를 갖는다.
  • 베르누이 시행의 반복 횟수를 n, 각 시행에서 성공할 확률을 p라고 할 때 다음과 같다.

  이항분포의 성질

약한 대수의 법칙

 

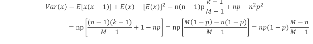
⑤ 초기하 분포[Hypergeometric Distribution]

X의 pdf인 f(x)가 다음과 같을 때 초기하 분포라고 함

  • 크기가 유한인 모집단으로 부터 비복원 추출시 나타나는 확률 분포

 

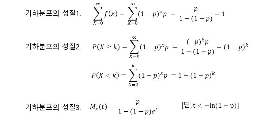
⑥ 기하 분포[Geometric Distribution]

성공 확률이 p인 베르누이 시행에서 처음 성공이 일어날 때까지 반복한 시행 횟수

  • 확률변수 x의 pdf가 다음과 같이 주어질 때, x는 모수가 p인 기하분포를 가짐

 

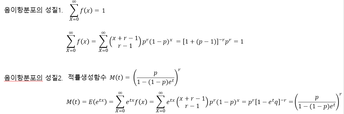
⑦ 음이항 분포[Negative Binominal Distribution]

성공확률이 p인 베르누이 시행에서 독립적으로 반복시행시 r번 성공할 때까지의 실패횟수

  • 확률변수 x의 pdf가 다음과 같을 때, x는 모수가 r,p인 음이항 분포를 가짐

 

⑧ 포아송 분포[Poisson Distribution]

시간과 공간 내에서 발생하는 사건의 발생횟수에 대한 확률분포

  • 확률변수 x의 pdf가 다음과 같을 때 x는 모수가 λ인 포아송 분포를 가짐

포아송 분포가 되기 위한 조건

  • 겹치지 않는 구간에서 일어나는 사건의 수는 서로 독립이다.
  • 짧은 구간에서 하나의 사건이 일어날 확률은 구간의 길이에 비례한다.
  • 충분히 짧은 구간에서 둘 이상의 사건이 일어날 확률은 0이다.
  • 전 구간을 통해 어느 부분에서나 사건은 동일하게 일어난다.

 

⑨ 다항 분포[Multinomial Distribution]

세가지 이상의 결과를 가지는 반복 시행에서 발생하는 확률분포

  • 이항분포를 확장한 확률 분포
  • 확률변수 x의 pdf가 다음과 같을 때 x는 다항분포를 가짐

 

728x90

관련글 더보기

댓글 영역